近日,PA捕鱼网官网入口 “鼎新学者”王云博士和何平教授在对宇宙重子流体的湍动研究中取得重要进展,相关成果以“Turbulence, Thermal Pressure, and Their Dynamical Effects on Cosmic Baryonic Fluid”为题,发表在国际顶级天文学期刊《皇家天文学会月刊:快报》。
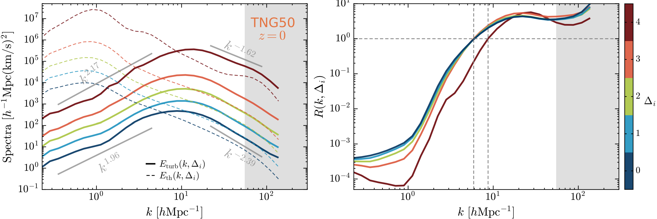
近几十年来,宇宙大尺度结构中重子流体的湍动性质受到越来越多的关注,成为了宇宙学的研究热点。在本工作中,研究人员基于连续小波变换设计了全局和环境依赖的能谱 (global and environment-dependent energy spectra),并用其检验了世界上最先进的宇宙流体动力学模拟项目IllustrisTNG的重子速度场的湍动和热动性质。结果显示,在红移4到2时期,湍流压强谱出现小幅增大;而从红移2到1,在大尺度上湍流能谱的幅值显著增大,表明湍流逐渐注入重子流体;从红移1到0,湍流能谱几乎保持不变,表明湍流可能通过能量转移和耗散达到平衡 (图一)。 此外,湍流能谱幅值也随着环境密度的增大而增大,在最高密度区域,湍动压强达到了热压强的六倍(图二)。
在以往的大部分研究中,湍动压强被认为是除热压强外对抗引力塌缩、解决气体过冷却问题的另一重要途径。然而在本工作中,通过分析重子流体的动力学效应,研究人员发现,湍动压强扮演了与热压强截然相反的角色(图三),这挑战了人们以往对湍动压强的普遍认知。该结论将对宇宙结构形成、星系的形成和演化的研究产生重要影响。

图一. 左:全局湍流能谱(实线)和热能谱(虚线)的红移演化。右:湍流能谱与热能谱之比。

图二. 左:红移0时期的环境依赖湍流能谱(实线)与热能谱(虚线)。右:湍流能谱与热能谱之比。

图三. 重子流体湍动(蓝色)和热动(绿色)的动力学效应,以及它们的组合效应(红色)。
文章第一作者为PA捕鱼网官网入口“鼎新学者”博士后王云,通讯作者为PA捕鱼网官网入口何平教授。该工作得到了国家自然科学基金委、吉林省自然科学基金的大力支持。
论文链接:https://doi.org/10.1093/mnrasl/slae073

《MNRAS Letters》简介
全称:Monthly Notices of the Royal Astronomical Society: Letters
出版商:Oxford University Press(英国牛津大学出版社)
影响因子:4.8
声誉与贡献:自然指数杂志(Nature Index Journals)收录的三大天文学期刊之一,在国际天文学界享有极高的声誉,对于推动天文学领域的知识进步和学术交流发挥着重要作用。
官方网站:https://academic.oup.com/mnras